Class: STAT 131 Subject: probability Date: 2025-02-24 Teacher: **Prof. Marcela
Discrete
Joint
Joint CDF
- Joint CDF. The joint CDF of r.v.s and is the function given by:
Joint PMF
- Joint PMF of a discrete r.v.s X and Y is the function px,y given by
- If X and Y are independent, then pxy(x, y) = px(x)py(y)
Marginal
Marginal PMF
- for discrete r.v.s X and Y, the marginal PMF of X is:
Conditional PMF
- for conditional r.v.s X and Y, the conditional PMF of Y is given as X = x is:
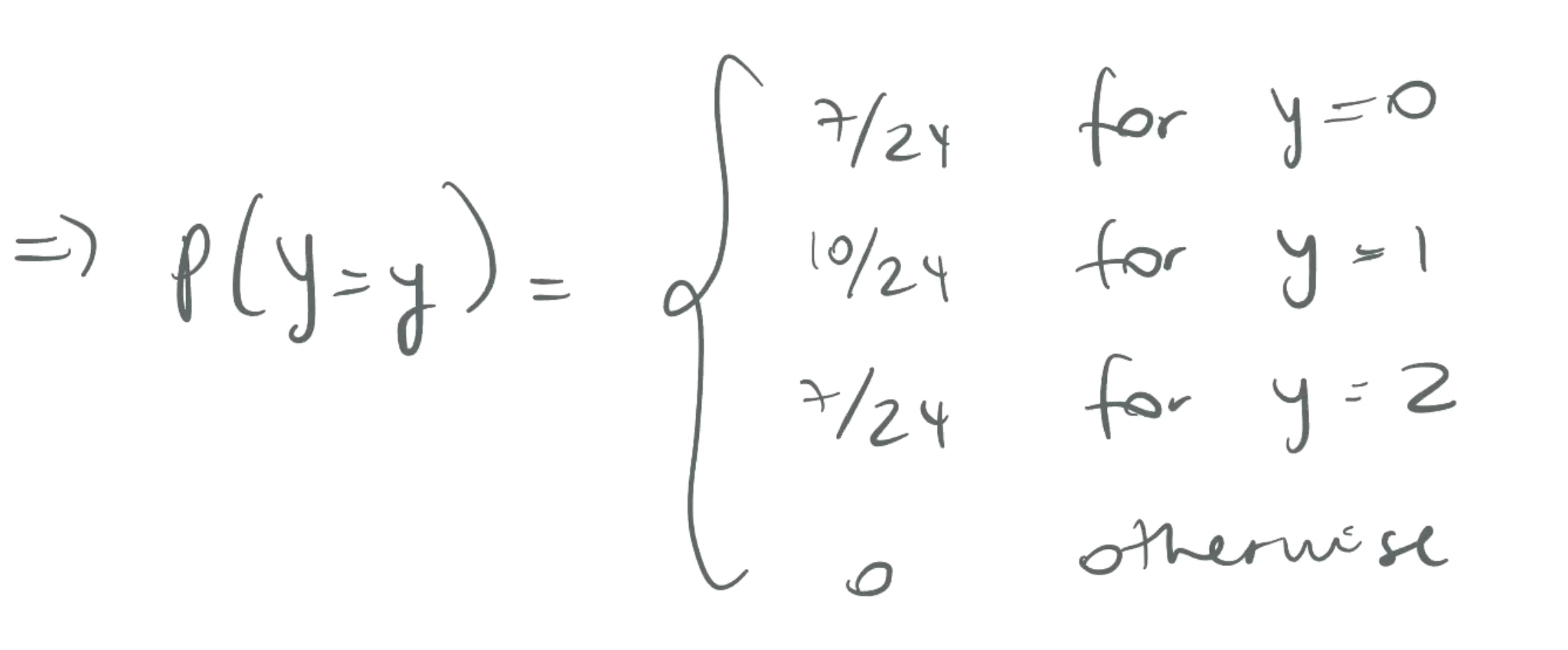
Example

a)
b)
If they don’t sum up to 1, then you made a mistake somewhere!
c) = d) Just show that for some because
Continuos
Joint
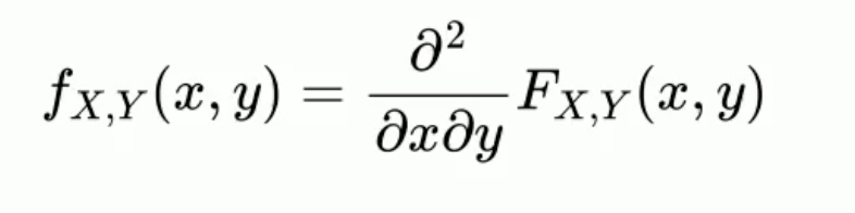
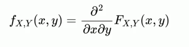
Joint PDF
- if X and Y are continuous, their joint PDF is the derivative of the joint CDF with respect to x and y:

Example
Marginal
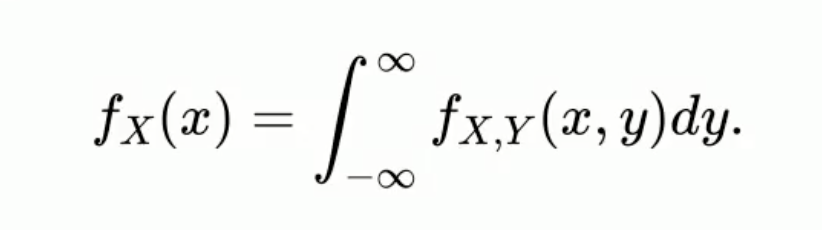
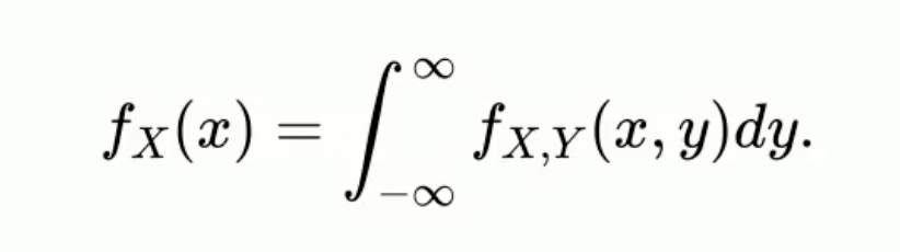
Marginal PDF
- for continuous r.v.s X and Y with joint PDF fx,y, the marginal PDF of X is:

Conditional
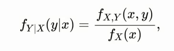
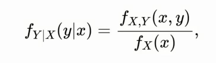
Conditional PDF
- for continuous r.v.s X and Y with joint PDF fx,y, the marginal PDF of Y given X=x is:

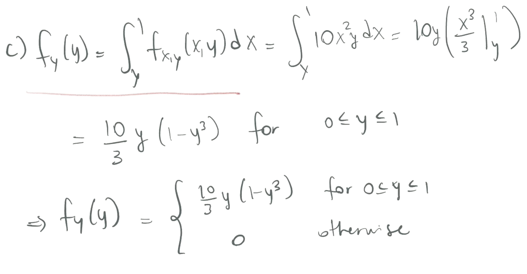
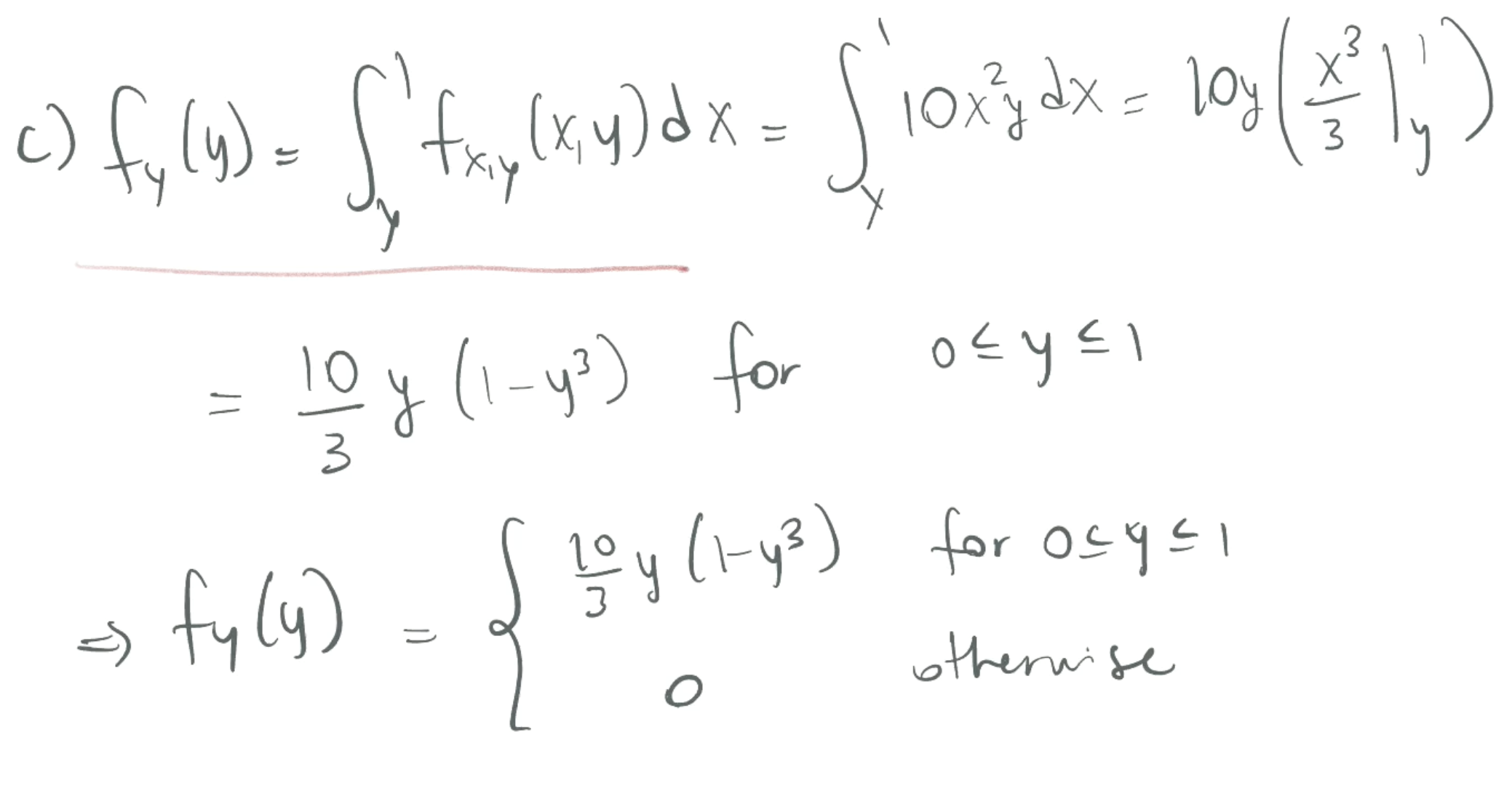
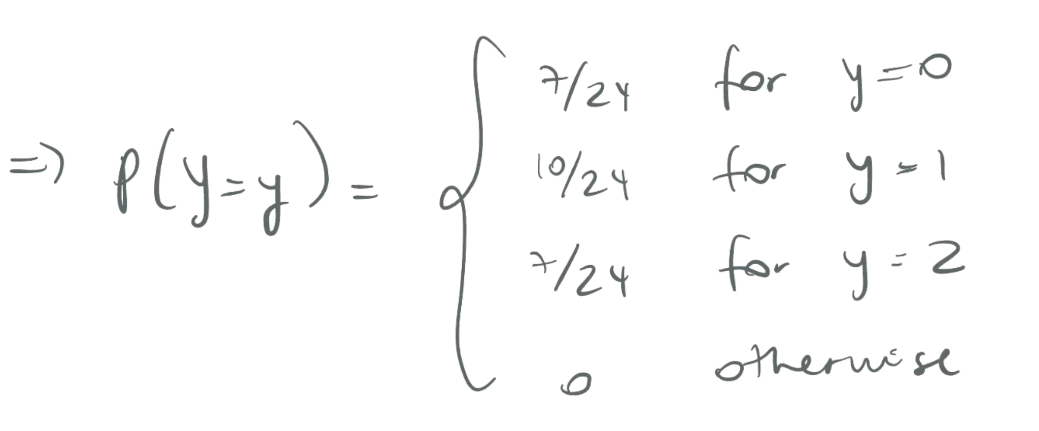
Example

b)
c)
d) 
e)
we ignore because

