Class: STAT 131 Subject: probability Date: 2025-03-10 Teacher: **Prof. Marcela
2D Lotus
Theorem
Discrete
- Let g be a function from to . If X and Y are discrete, then:
Continuous
- If X and Y are continuous with a joint PDF fx,y then:
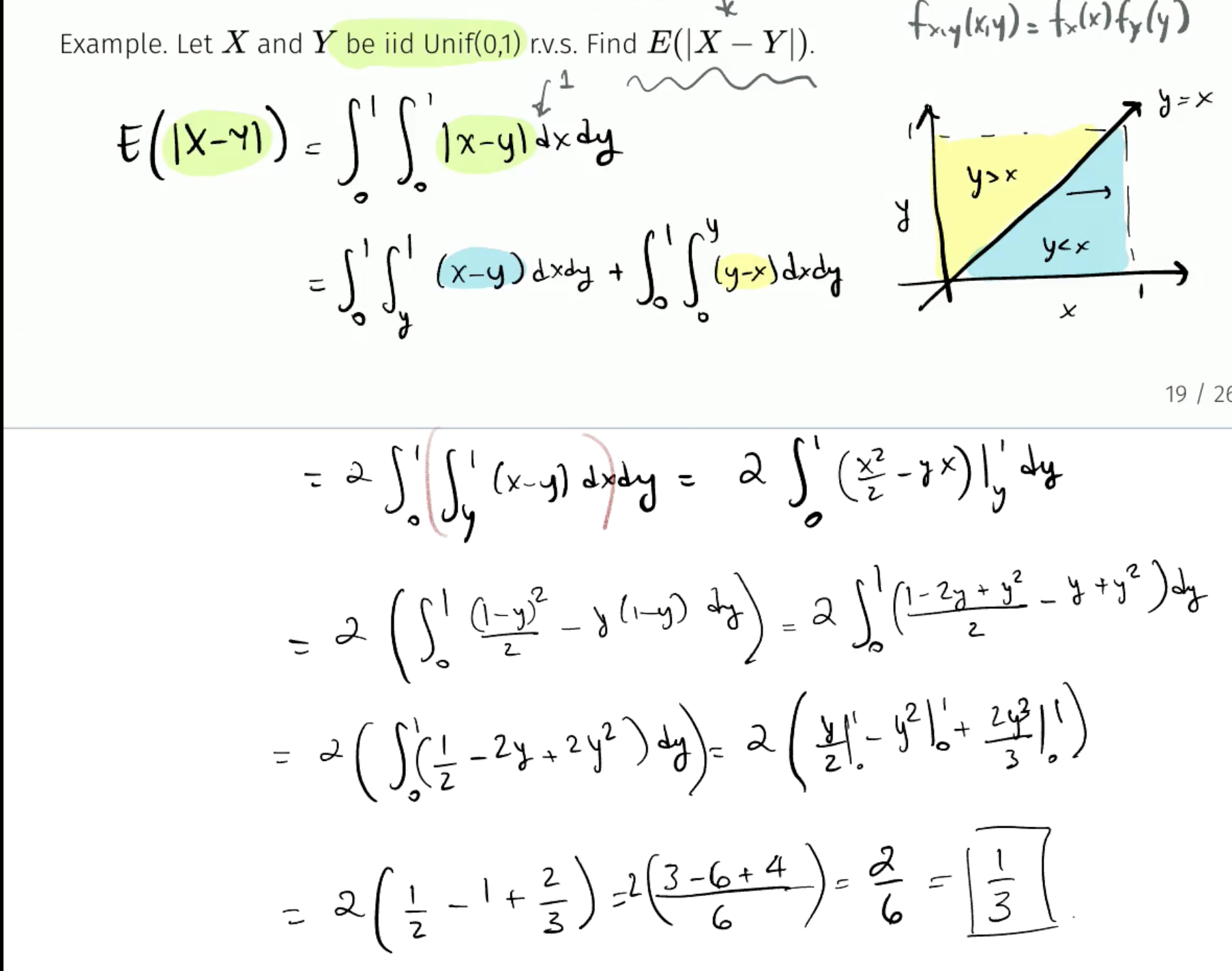
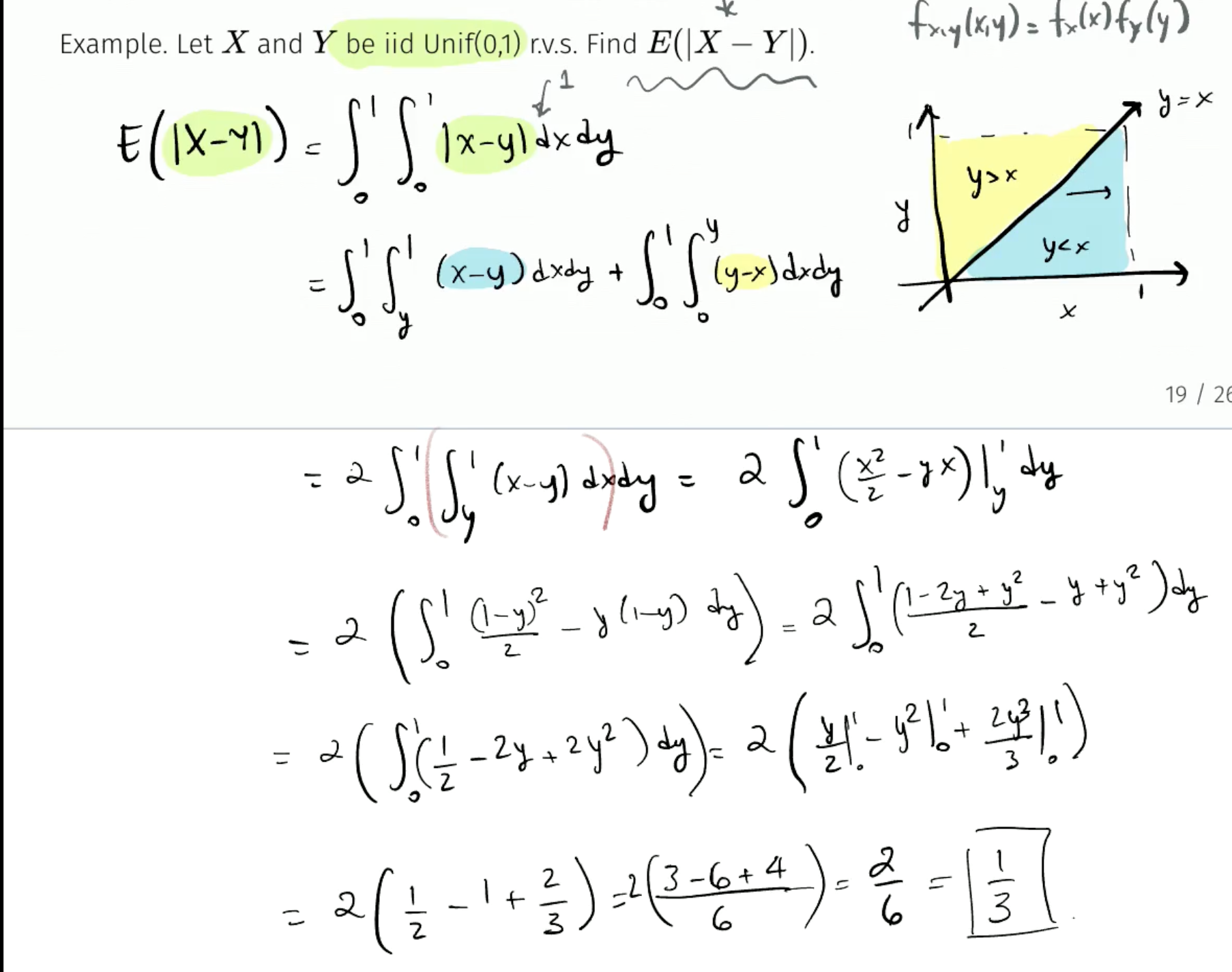
Example

Class: STAT 131 Subject: probability Date: 2025-03-10 Teacher: **Prof. Marcela
